Skip Headers
Oracle® Database SQL Reference
10g Release 2 (10.2)

Part Number B14200-02
Go to Documentation Home
Home
Go to Book List
Book List
Go to Table of Contents
Contents
Go to Index
Index
Go to Master Index
Master Index
Go to Feedback page
Contact Us

Go to previous page
Previous
Go to next page
Next
View PDF

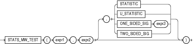
STATS_MW_TEST

Syntax

Description of stats_mw_test.gif follows
Description of the illustration stats_mw_test.gif

Purpose

A Mann Whitney test compares two independent samples to test the null hypothesis that two populations have the same distribution function against the alternative hypothesis that the two distribution functions are different.

The STATS_MW_TEST does not assume that the differences between the samples are normally distributed, as do the STATS_T_TEST_* functions. This function takes three arguments and a return value of type VARCHAR2. expr1 classifies the data into groups. expr2 contains the values for each of the groups. The function returns one value, determined by the third argument. If you omit the third argument, the default is TWO_SIDED_SIG. The meaning of the return values is shown in the table that follows.

The significance of the observed value of Z or U is the probability that the variances are different just by chance--a number between 0 and 1. A small value for the significance indicates that the variances are significantly different. The degree of freedom for each of the variances is the number of observations in the sample minus 1.

Table 5-7 STATS_MW_TEST Return Values

Return Value Meaning

STATISTIC

The observed value of Z

U_STATISTIC

The observed value of U

ONE_SIDED_SIG

One-tailed significance of Z

TWO_SIDED_SIG

Two-tailed significance of Z


The one-tailed significance is always in relation to the upper tail. The final argument, expr3, indicates which of the two groups specified by expr1 is the high value (the value whose rejection region is the upper tail).

STATS_MW_TEST computes the probability that the samples are from the same distribution by checking the differences in the sums of the ranks of the values. If the samples come from the same distribution, then the sums should be close in value.

STATS_MW_TEST Example Using the Mann Whitney test, the following example determines whether the distribution of sales between men and women is due to chance:

SELECT STATS_MW_TEST
         (cust_gender, amount_sold, 'STATISTIC') z_statistic,
       STATS_MW_TEST
         (cust_gender, amount_sold, 'ONE_SIDED_SIG', 'F') one_sided_p_value
  FROM sh.customers c, sh.sales s
  WHERE c.cust_id = s.cust_id;

Z_STATISTIC ONE_SIDED_P_VALUE
----------- -----------------
 -1.4011509        .080584471