Oracle® Database SQL Reference 10g Release 2 (10.2) Part Number B14200-02 |
|
|
View PDF |
Purpose
Use the ALTER
SYSTEM
statement to dynamically alter your Oracle Database instance. The settings stay in effect as long as the database is mounted.
Prerequisites
You must have ALTER
SYSTEM
system privilege.
Syntax
alter_system::=
(archive_log_clause ::=, checkpoint_clause::=, check_datafiles_clause::=, distributed_recov_clauses::=, end_session_clauses::=, quiesce_clauses::=, alter_system_security_clauses::=, shutdown_dispatcher_clause::=, alter_system_set_clause::=, alter_system_reset_clause::=)
alter_system_security_clauses::=
Semantics
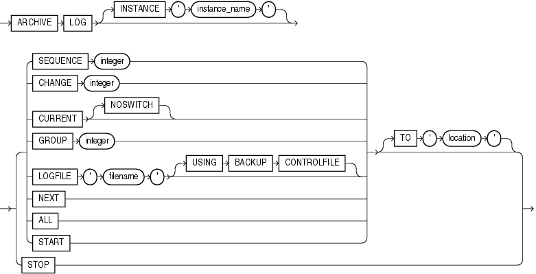
The archive_log_clause
manually archives redo log files or enables or disables automatic archiving. To use this clause, your instance must have the database mounted. The database can be either open or closed unless otherwise noted.
INSTANCE Clause
This clause is relevant only if you are using Oracle Database with the Real Application Clusters option. Specify the name of the instance for which you want the redo log file group to be archived. The instance name is a string of up to 80 characters. Oracle Database automatically determines the thread that is mapped to the specified instance and archives the corresponding redo log file group. If no thread is mapped to the specified instance, then Oracle Database returns an error.
In earlier releases, you could identify the redo log file group to be archived by thread as well as instance. That syntax is now supported for backward compatibility only. The INSTANCE
clause achieves the same purpose and is easier to use.
Specify SEQUENCE
to manually archive the online redo log file group identified by the log sequence number integer
in the specified thread. If you omit the THREAD
parameter, then Oracle Database archives the specified group from the thread assigned to your instance.
Specify CHANGE
to manually archive the online redo log file group containing the redo log entry with the system change number (SCN) specified by integer
in the specified thread. If the SCN is in the current redo log file group, then Oracle Database performs a log switch. If you omit the THREAD
parameter, then Oracle Database archives the groups containing this SCN from all enabled threads.
You can use this clause only when your instance has the database open.
Specify CURRENT
to manually archive the current redo log file group of the specified thread, forcing a log switch. If you omit the THREAD
parameter, then Oracle Database archives all redo log file groups from all enabled threads, including logs previous to current logs. You can specify CURRENT
only when the database is open.
NOSWITCH Specify NOSWITCH
if you want to manually archive the current redo log file group without forcing a log switch. This setting is used primarily with standby databases to prevent data divergence when the primary database shuts down. Divergence implies the possibility of data loss in case of primary database failure.
You can use the NOSWITCH
clause only when your instance has the database mounted but not open. If the database is open, then this operation closes the database automatically. You must then manually shut down the database before you can reopen it.
Specify GROUP
to manually archive the online redo log file group with the GROUP
value specified by integer
. You can determine the GROUP
value for a redo log file group by querying the data dictionary view DBA_LOG_GROUPS
. If you specify both the THREAD
and GROUP
parameters, then the specified redo log file group must be in the specified thread.
LOGFILE Clause
Specify LOGFILE
to manually archive the online redo log file group containing the redo log file member identified by 'filename
'. If you specify both the THREAD
and LOGFILE
parameters, then the specified redo log file group must be in the specified thread.
If the database was mounted with a backup controlfile, then specify USING
BACKUP
CONTROLFILE
to permit archiving of all online logfiles, including the current logfile.
Restriction on the LOGFILE clause You must archive redo log file groups in the order in which they are filled. If you specify a redo log file group for archiving with the LOGFILE
parameter, and earlier redo log file groups are not yet archived, then Oracle Database returns an error.
Specify NEXT
to manually archive the next online redo log file group from the specified thread that is full but has not yet been archived. If you omit the THREAD
parameter, then Oracle Database archives the earliest unarchived redo log file group from any enabled thread.
Specify ALL
to manually archive all online redo log file groups from the specified thread that are full but have not been archived. If you omit the THREAD
parameter, then Oracle Database archives all full unarchived redo log file groups from all enabled threads.
In earlier releases, this clause enabled automatic archiving of redo log file groups for the thread assigned to your instance. This clause has been deprecated, because Oracle Database automatically enables automatic archiving of redo log file groups. This clause has no effect. If you specify it, Oracle Database writes a message to the alert log.
Specify TO
'location
' to indicate the primary location to which the redo log file groups are archived. The value of this parameter must be a fully specified file location following the conventions of your operating system. If you omit this parameter, then Oracle Database archives the redo log file group to the location specified by the initialization parameters LOG_ARCHIVE_DEST
or LOG_ARCHIVE_DEST_
n
.
In earlier releases, this clause disabled automatic archiving of redo log file groups for the thread assigned to your instance. This clause has been deprecated. It has no effect, and if you specify it, Oracle Database writes a message to the alert log.
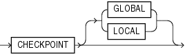
Specify CHECKPOINT
to explicitly force Oracle Database to perform a checkpoint, ensuring that all changes made by committed transactions are written to datafiles on disk. You can specify this clause only when your instance has the database open. Oracle Database does not return control to you until the checkpoint is complete.
GLOBAL In a Real Application Clusters environment, this setting causes Oracle Database to perform a checkpoint for all instances that have opened the database. This is the default.
LOCAL In a Real Application Clusters environment, this setting causes Oracle Database to perform a checkpoint only for the thread of redo log file groups for the instance from which you issue the statement.
In a distributed database system, such as a Real Application Clusters environment, this clause updates an instance's SGA from the database control file to reflect information on all online datafiles.
Specify GLOBAL
to perform this synchronization for all instances that have opened the database. This is the default.
Specify LOCAL
to perform this synchronization only for the local instance.
Your instance should have the database open.
end_session_clauses
The end_session_clauses
give you several ways to end the current session.
Use the DISCONNECT
SESSION
clause to disconnect the current session by destroying the dedicated server process (or virtual circuit if the connection was made by way of a Shared Sever). To use this clause, your instance must have the database open. You must identify the session with both of the following values from the V$SESSION
view:
For integer1
, specify the value of the SID
column.
For integer2
, specify the value of the SERIAL#
column.
If system parameters are appropriately configured, then application failover will take effect.
The POST_TRANSACTION
setting allows ongoing transactions to complete before the session is disconnected. If the session has no ongoing transactions, then this clause has the same effect described for as KILL
SESSION
.
The IMMEDIATE
setting disconnects the session and recovers the entire session state immediately, without waiting for ongoing transactions to complete.
If you also specify POST_TRANSACTION
and the session has ongoing transactions, then the IMMEDIATE
keyword is ignored.
If you do not specify POST_TRANSACTION
, or you specify POST_TRANSACTION
but the session has no ongoing transactions, then this clause has the same effect as described for KILL
SESSION
IMMEDIATE
.
The KILL
SESSION
clause lets you mark a session as terminated, roll back ongoing transactions, release all session locks, and partially recover session resources. To use this clause, your instance must have the database open, and your session and the session to be terminated must be on the same instance. You must identify the session with both of the following values from the V$SESSION
view:
For integer1
, specify the value of the SID
column.
For integer2
, specify the value of the SERIAL#
column.
If the session is performing some activity that must be completed, such as waiting for a reply from a remote database or rolling back a transaction, then Oracle Database waits for this activity to complete, marks the session as terminated, and then returns control to you. If the waiting lasts a minute, then Oracle Database marks the session to be terminated and returns control to you with a message that the session is marked to be terminated. The PMON
background process then marks the session as terminated when the activity is complete.
Whether or not the session has an ongoing transaction, Oracle Database does not recover the entire session state until the session user issues a request to the session and receives a message that the session has been terminated.
IMMEDIATE Specify IMMEDIATE
to instruct Oracle Database to roll back ongoing transactions, release all session locks, recover the entire session state, and return control to you immediately.
The DISTRIBUTED
RECOVERY
clause lets you enable or disable distributed recovery. To use this clause, your instance must have the database open.
ENABLE Specify ENABLE
to enable distributed recovery. In a single-process environment, you must use this clause to initiate distributed recovery.
You may need to issue the ENABLE
DISTRIBUTED
RECOVERY
statement more than once to recover an in-doubt transaction if the remote node involved in the transaction is not accessible. In-doubt transactions appear in the data dictionary view DBA_2PC_PENDING
.
DISABLE Specify DISABLE
to disable distributed recovery.
The FLUSH
SHARED
POOL
clause lets you clear all data from the shared pool in the system global area (SGA). The shared pool stores
Cached data dictionary information and
Shared SQL and PL/SQL areas for SQL statements, stored procedures, function, packages, and triggers.
This statement does not clear shared SQL and PL/SQL areas for items that are currently being executed. You can use this clause regardless of whether your instance has the database dismounted or mounted, open or closed.
The FLUSH
BUFFER_CACHE
clause lets you clear all data from the buffer cache in the system global area (SGA).
Caution: This clause is intended for use only on a test database. Do not use this clause on a production database, because as a result of this statement, subsequent queries will have no hits, only misses. |
This clause is useful if you need to measure the performance of rewritten queries or a suite of queries from identical starting points.
The SWITCH
LOGFILE
clause lets you explicitly force Oracle Database to begin writing to a new redo log file group, regardless of whether the files in the current redo log file group are full. When you force a log switch, Oracle Database begins to perform a checkpoint but returns control to you immediately rather than when the checkpoint is complete. To use this clause, your instance must have the database open.
The SUSPEND
clause lets you suspend all I/O (datafile, control file, and file header) as well as queries, in all instances, enabling you to make copies of the database without having to handle ongoing transactions.
Restrictions on SUSPEND and RESUME SUSPEND
and RESUME
are subject to the following restrictions:
Do not use this clause unless you have put the database tablespaces in hot backup mode.
Do not terminate the session that issued the ALTER
SYSTEM
SUSPEND
statement. An attempt to reconnect while the system is suspended may fail because of recursive SQL that is running during the SYS
login.
If you start a new instance while the system is suspended, then that new instance will not be suspended.
The RESUME
clause lets you make the database available once again for queries and I/O.
Use the QUIESCE
RESTRICTED
and UNQUIESCE
clauses to put the database in and take it out of the quiesced state. This state enables database administrators to perform administrative operations that cannot be safely performed in the presence of concurrent transactions, queries, or PL/SQL operations.
Note: TheQUIESCE RESTRICTED clause is valid only if the Database Resource Manager is installed and only if the Resource Manager has been on continuously since database startup in any instances that have opened the database. |
If multiple QUIESCE
RESTRICTED
or UNQUIESCE
statements issue at the same time from different sessions or instances, then all but one will receive an error.
QUIESCE RESTRICTED
Specify QUIESCE
RESTRICTED
to put the database in the quiesced state. For all instances with the database open, this clause has the following effect:
Oracle Database instructs the Database Resource Manager in all instances to prevent all inactive sessions (other than SYS
and SYSTEM
) from becoming active. No user other than SYS
and SYSTEM
can start a new transaction, a new query, a new fetch, or a new PL/SQL operation.
Oracle Database waits for all existing transactions in all instances that were initiated by a user other than SYS
or SYSTEM
to finish (either commit or abort). Oracle Database also waits for all running queries, fetches, and PL/SQL procedures in all instances that were initiated by users other than SYS
or SYSTEM
and that are not inside transactions to finish. If a query is carried out by multiple successive OCI fetches, then Oracle Database does not wait for all fetches to finish. It waits for the current fetch to finish and then blocks the next fetch. Oracle Database also waits for all sessions (other than those of SYS
or SYSTEM
) that hold any shared resources (such as enqueues) to release those resources. After all these operations finish, Oracle Database places the database into quiesced state and finishes executing the QUIESCE
RESTRICTED
statement.
If an instance is running in shared server mode, then Oracle Database instructs the Database Resource Manager to block logins (other than SYS
or SYSTEM
) on that instance. If an instance is running in non-shared-server mode, then Oracle Database does not impose any restrictions on user logins in that instance.
During the quiesced state, you cannot change the Resource Manager plan in any instance.
UNQUIESCE
Specify UNQUIESCE
to take the database out of quiesced state. Doing so permits transactions, queries, fetches, and PL/SQL procedures that were initiated by users other than SYS
or SYSTEM
to be undertaken once again. The UNQUIESCE
statement does not have to originate in the same session that issued the QUIESCE
RESTRICTED
statement.
The alter_system_security_clauses
let you control access to the instance.
The RESTRICTED
SESSION
clause lets you restrict logon to Oracle Database. You can use this clause regardless of whether your instance has the database dismounted or mounted, open or closed.
Specify ENABLE
to allow only users with RESTRICTED
SESSION
system privilege to log on to Oracle Database. Existing sessions are not terminated.
This clause applies only to the current instance. Therefore, in a Real Application Clusters environment, authorized users without the RESTRICTED
SESSION
system privilege can still access the database by way of other instances.
Specify DISABLE
to reverse the effect of the ENABLE
RESTRICTED
SESSION
clause, allowing all users with CREATE
SESSION
system privilege to log on to Oracle Database. This is the default.
Use this clause to manage database access to information in the server wallet. Although this statement begins with the keyword ALTER
, an ALTER
SYSTEM
SET
ENCRYPTION
WALLET
statement is not a DDL clause. However, you cannot roll back such a statement.
OPEN When you specify this clause, the database uses the specified password to load information from the server wallet into memory for database access for the duration of the instance. This clause lets the database retrieve keys from the server wallet without an SSO wallet. If the server wallet is not available or is already open, the database returns an error.
CLOSE Use this clause to remove the server wallet information from memory.
Use this clause to generate a new encryption key and to set it as the current transparent data encryption master key. This clause also loads information from the server wallet into memory for database access. The certificate_id
is the integer that identifies the certificate. It is not required if you are using basic keys, but it is required if you are using PKI-based keys. You can find this value by querying the CERT_ID
column of the V$WALLET
dynamic performance view. For password
, specify the password used to connect to the security module. If you specify an invalid certificate_id
or password, then the database returns an error.
An ALTER
SYSTEM
SET
KEY
statement is a DDL statement and will automatically commit any pending transactions in the schema.
You must set both an encryption wallet and an encryption key to use the transparent data encryption feature.
See Also:
|
The SHUTDOWN
clause is relevant only if your system is using the shared server architecture of Oracle Database. It shuts down a dispatcher identified by dispatcher_name
.
Note: Do not confuse this clause with the SQL*Plus commandSHUTDOWN , which is used to shut down the entire database. |
The dispatcher_name
must be a string of the form 'D
xxx
', where xxx
indicates the number of the dispatcher. For a listing of dispatcher names, query the NAME
column of the V$DISPATCHER
dynamic performance view.
If you specify IMMEDIATE
, then the dispatcher stops accepting new connections immediately and Oracle Database terminates all existing connections through that dispatcher. After all sessions are cleaned up, the dispatcher process shuts down.
If you do not specify IMMEDIATE
, then the dispatcher stops accepting new connections immediately but waits for all its users to disconnect and for all its database links to terminate. Then it shuts down.
Specify REGISTER
to instruct the PMON
background process to register the instance with the listeners immediately. If you do not specify this clause, then registration of the instance does not occur until the next time PMON
executes the discovery routine. As a result, clients may not be able to access the services for as long as 60 seconds after the listener is started.
See Also: Oracle Database Concepts and Oracle Net Services Administrator's Guide for information on thePMON background process and listeners |
The alter_system_set_clause
lets you set or reset the value of any initialization parameter. The parameters are described in "Initialization Parameters and ALTER SYSTEM".
The ability to change initialization parameter values depends on whether you have started up the database with a traditional client-side initialization parameter file (pfile) or with a server parameter file (spfile). To determine whether you can change the value of a particular parameter, query the ISSYS_MODIFIABLE
column of the V$PARAMETER
dynamic performance view.
When setting a parameter value, you can specify additional settings as follows:
COMMENT
The COMMENT
clause lets you associate a comment string with this change in the value of the parameter. If you also specify SPFILE
, then this comment will appear in the parameter file to indicate the most recent change made to this parameter.
DEFERRED
The DEFERRED
keyword sets or modifies the value of the parameter for future sessions that connect to the database. Current sessions retain the old value.
You must specify DEFERRED
if the value of the ISSYS_MODIFIABLE
column of V$PARAMETER
for this parameter is DEFERRED
. If the value of that column is IMMEDIATE
, then the DEFERRED
keyword in this clause is optional. If the value of that column is FALSE
, then you cannot specify DEFERRED
in this ALTER
SYSTEM
statement.
SCOPE
The SCOPE
clause lets you specify when the change takes effect. Scope depends on whether you started up the database using a client-side parameter file (pfile) or server parameter file (spfile).
MEMORY MEMORY
indicates that the change is made in memory, takes effect immediately, and persists until the database is shut down. If you started up the database using a parameter file (pfile), then this is the only scope you can specify.
SPFILE SPFILE
indicates that the change is made in the server parameter file. The new setting takes effect when the database is next shut down and started up again. You must specify SPFILE
when changing the value of a static parameter that is described as not modifiable in Oracle Database Reference.
BOTH BOTH
indicates that the change is made in memory and in the server parameter file. The new setting takes effect immediately and persists after the database is shut down and started up again.
If a server parameter file was used to start up the database, then BOTH
is the default. If a parameter file was used to start up the database, then MEMORY
is the default, as well as the only scope you can specify.
SID
The SID
clause is relevant only in a Real Application Clusters environment. This clause lets you specify the SID of the instance where the value will take effect.
Specify SID
= '*'
if you want Oracle Database to change the value of the parameter for all instances.
Specify SID
= 'sid'
if you want Oracle Database to change the value of the parameter only for the instance sid
. This setting takes precedence over previous and subsequent ALTER
SYSTEM
SET
statements that specify SID
= '*'
.
If you do not specify this clause:
If the instance was started up with a pfile (client-side initialization parameter file), then Oracle Database assumes the SID of the current instance.
If the instance was started up with an spfile (server parameter file), then Oracle Database assumes SID
=
'*'
.
If you specify an instance other than the current instance, then Oracle Database sends a message to that instance to change the parameter value in the memory of that instance.
alter_system_reset_clause
In a Real Application Clusters (RAC) environment, the alter_system_reset_clause
gives you separate control for an individual instance over parameters that may have been set for all instances in a server parameter file. The SCOPE
clause has the same behavior as described for the alter_system_set_clause
.
SID Specify the SID
clause to remove a previously specified setting of this parameter for your instance--that is, a previous ALTER
SYSTEM
SET
... SID
= 'sid'
statement. (In a non-RAC environment, you can specify SID = '*'
for this clause.) Your instance will assume the value of the parameter as specified in a previous or subsequent ALTER
SYSTEM
SET
... SID
= '*'
statement.
See Also: Oracle Real Application Clusters Administrator's Guide for information on setting parameter values for an individual instance in a Real Application Clusters environment |
You can change the value of many initialization parameters for the current instance, whether you have started the database with a traditional client-side parameter file (pfile) or with a server parameter file (spfile). Oracle Database Reference indicates these parameters in the "Modifiable" category of each parameter description. If you are using a pfile, then the change will persist only for the duration of the instance. However, if you have started the database with an spfile, then you can change the value of the parameter in the spfile itself, so that the new value will occur in subsequent instances.
Three lists follow:
The first is a list of basic parameters. Database administrators should be familiar with and consider the setting for all of the basic parameters.
The second list shows the initialization parameters by their functional category.
The third list includes all initialization parameters in alphabetical order.
For a description of these parameters, please refer to Oracle Database Reference.
See Also: the following examples of using theALTER SYSTEM statement: "Changing Licensing Parameters: Examples", "Enabling Query Rewrite: Example", "Enabling Resource Limits: Example", "Shared Server Parameters ", and "Changing Shared Server Settings: Examples" |
Basic Parameters
CLUSTER_DATABASE
COMPATIBLE
CONTROL_FILES
DB_BLOCK_SIZE
DB_CREATE_FILE_DEST
DB_CREATE_ONLINE_LOG_DEST_
n
DB_DOMAIN
DB_NAME
DB_RECOVERY_FILE_DEST
DB_RECOVERY_FILE_DEST_SIZE
DB_UNIQUE_NAME
INSTANCE_NUMBER
JOB_QUEUE_PROCESSES
LOG_ARCHIVE_DEST_
n
LOG_ARCHIVE_DEST_STATE_
n
NLS_LANGUAGE
NLS_TERRITORY
OPEN_CURSORS
PGA_AGGREGATE_TARGET
PROCESSES
REMOTE_LISTENER
REMOTE_LOGIN_PASSWORDFILE
ROLLBACK_SEGMENTS
SESSIONS
SGA_TARGET
SHARED_SERVERS
STAR_TRANSFORMATION_ENABLED
UNDO_MANAGEMENT
UNDO_TABLESPACE
Parameters by Functional Category
ANSI Compliance
Backup and Restore
BFILEs
Buffer Cache and I/O
Cursors and Library Cache
Database/Instance Identification
Diagnostics and Statistics
Distributed, Replication
File Locations, Names, and Sizes
Globalization
Java
Job Queues
License Limits
Memory
Miscellaneous
Networking
Objects and LOBs
OLAP
Optimizer
Parallel Execution
PL/SQL
PL/SQL Compiler
PLSQL_CC_FLAGS
PLSQL_CODE_TYPE
PLSQL_DEBUG
PLSQL_OPTIMIZE_LEVEL
PLSQL_WARNINGS
NLS_LENGTH_SEMANTICS
SGA Memory
Real Application Clusters
Redo Logs, Archiving, and Recovery
CONTROL_FILE_RECORD_KEEP_TIME
DB_CREATE_ONLINE_LOG_DEST_
n
DB_RECOVERY_FILE_DEST
DB_RECOVERY_FILE_DEST_SIZE
FAST_START_MTTR_TARGET
LOG_BUFFER
LOG_CHECKPOINT_INTERVAL
LOG_CHECKPOINT_TIMEOUT
LOG_CHECKPOINTS_TO_ALERT
LOG_ARCHIVE_CONFIG
LOG_ARCHIVE_DEST_
n
LOG_ARCHIVE_DEST_STATE_
n
LOG_ARCHIVE_DUPLEX_DEST
LOG_ARCHIVE_FORMAT
LOG_ARCHIVE_MAX_PROCESSES
LOG_ARCHIVE_MIN_SUCCEED_DEST
LOG_ARCHIVE_TRACE
RECOVERY_PARALLELISM
Resource Manager
Security and Auditing
Sessions and Processes
Shared Server Architecture
Standby Database
Temporary Sort Space
Transactions
Undo Management
All Parameters in Alphabetical Order
ACTIVE_INSTANCE_COUNT
AQ_TM_PROCESSES
ARCHIVE_LAG_TARGET
ASM_DISKGROUPS
ASM_DISKSTRING
ASM_POWER_LIMIT
AUDIT_FILE_DEST
AUDIT_SYS_OPERATIONS
AUDIT_SYSLOG_LEVEL
AUDIT_TRAIL
BACKGROUND_CORE_DUMP
BACKGROUND_DUMP_DEST
BACKUP_TAPE_IO_SLAVES
BITMAP_MERGE_AREA_SIZE
BLANK_TRIMMING
CIRCUITS
CLUSTER_DATABASE
CLUSTER_DATABASE_INSTANCES
CLUSTER_INTERCONNECTS
COMMIT_POINT_STRENGTH
COMMIT_WRITE
COMPATIBLE
CONTROL_FILE_RECORD_KEEP_TIME
CONTROL_FILES
CORE_DUMP_DEST
CPU_COUNT
CREATE_BITMAP_AREA_SIZE
CREATE_STORED_OUTLINES
CURSOR_SHARING
CURSOR_SPACE_FOR_TIME
DB_
n
K_CACHE_SIZE
DB_BLOCK_BUFFERS
DB_BLOCK_CHECKING
DB_BLOCK_CHECKSUM
DB_BLOCK_SIZE
DB_CACHE_ADVICE
DB_CACHE_SIZE
DB_CREATE_FILE_DEST
DB_CREATE_ONLINE_LOG_DEST_
n
DB_DOMAIN
DB_FILE_MULTIBLOCK_READ_COUNT
DB_FILE_NAME_CONVERT
DB_FILES
DB_FLASHBACK_RETENTION_TARGET
DB_KEEP_CACHE_SIZE
DB_NAME
DB_RECOVERY_FILE_DEST
DB_RECOVERY_FILE_DEST_SIZE
DB_RECYCLE_CACHE_SIZE
DB_UNIQUE_NAME
DB_WRITER_PROCESSES
DBWR_IO_SLAVES
DG_BROKER_CONFIG_FILE
n
DG_BROKER_START
DISK_ASYNCH_IO
DISPATCHERS
DISTRIBUTED_LOCK_TIMEOUT
DML_LOCKS
EVENT
FAL_CLIENT
FAL_SERVER
FAST_START_MTTR_TARGET
FAST_START_PARALLEL_ROLLBACK
FILE_MAPPING
FILEIO_NETWORK_ADAPTERS
FILESYSTEMIO_OPTIONS
FIXED_DATE
GC_FILES_TO_LOCKS
GCS_SERVER_PROCESSES
GLOBAL_NAMES
HASH_AREA_SIZE
HI_SHARED_MEMORY_ADDRESS
HS_AUTOREGISTER
IFILE
INSTANCE_GROUPS
INSTANCE_NAME
INSTANCE_NUMBER
INSTANCE_TYPE
JAVA_MAX_SESSIONSPACE_SIZE
JAVA_POOL_SIZE
JAVA_SOFT_SESSIONSPACE_LIMIT
JOB_QUEUE_PROCESSES
LARGE_POOL_SIZE
LDAP_DIRECTORY_ACCESS
LICENSE_MAX_SESSIONS
LICENSE_MAX_USERS
LICENSE_SESSIONS_WARNING
LOCAL_LISTENER
LOCK_SGA
LOG_ARCHIVE_CONFIG
LOG_ARCHIVE_DEST
LOG_ARCHIVE_DEST_
n
LOG_ARCHIVE_DEST_STATE_
n
LOG_ARCHIVE_DUPLEX_DEST
LOG_ARCHIVE_FORMAT
LOG_ARCHIVE_LOCAL_FIRST
LOG_ARCHIVE_MAX_PROCESSES
LOG_ARCHIVE_MIN_SUCCEED_DEST
LOG_ARCHIVE_TRACE
LOG_BUFFER
LOG_CHECKPOINT_INTERVAL
LOG_CHECKPOINT_TIMEOUT
LOG_CHECKPOINTS_TO_ALERT
LOG_FILE_NAME_CONVERT
MAX_COMMIT_PROPAGATION_DELAY
MAX_DISPATCHERS
MAX_DUMP_FILE_SIZE
MAX_SHARED_SERVERS
NLS_CALENDAR
NLS_COMP
NLS_CURRENCY
NLS_DATE_FORMAT
NLS_DATE_LANGUAGE
NLS_DUAL_CURRENCY
NLS_ISO_CURRENCY
NLS_LANGUAGE
NLS_LENGTH_SEMANTICS
NLS_NCHAR_CONV_EXCP
NLS_NUMERIC_CHARACTERS
NLS_SORT
NLS_TERRITORY
NLS_TIMESTAMP_FORMAT
NLS_TIMESTAMP_TZ_FORMAT
O7_DICTIONARY_ACCESSIBILITY
OBJECT_CACHE_MAX_SIZE_PERCENT
OBJECT_CACHE_OPTIMAL_SIZE
OLAP_PAGE_POOL_SIZE
OPEN_CURSORS
OPEN_LINKS
OPEN_LINKS_PER_INSTANCE
OPTIMIZER_DYNAMIC_SAMPLING
OPTIMIZER_FEATURES_ENABLE
OPTIMIZER_INDEX_CACHING
OPTIMIZER_INDEX_COST_ADJ
OPTIMIZER_MODE
OPTIMIZER_SECURE_VIEW_MERGING
OS_AUTHENT_PREFIX
OS_ROLES
PARALLEL_ADAPTIVE_MULTI_USER
PARALLEL_EXECUTION_MESSAGE_SIZE
PARALLEL_INSTANCE_GROUP
PARALLEL_MAX_SERVERS
PARALLEL_MIN_PERCENT
PARALLEL_MIN_SERVERS
PARALLEL_THREADS_PER_CPU
PGA_AGGREGATE_TARGET
PLSQL_CCFLAGS
PLSQL_CODE_TYPE
PLSQL_DEBUG
PLSQL_NATIVE_LIBRARY_DIR
PLSQL_NATIVE_LIBRARY_SUBDIR_COUNT
PLSQL_OPTIMIZE_LEVEL
PLSQL_V2_COMPATIBILITY
PLSQL_WARNINGS
PRE_PAGE_SGA
PROCESSES
QUERY_REWRITE_ENABLED
QUERY_REWRITE_INTEGRITY
RDBMS_SERVER_DN
READ_ONLY_OPEN_DELAYED
RECOVERY_PARALLELISM
RECYCLEBIN
REMOTE_DEPENDENCIES_MODE
REMOTE_LISTENER
REMOTE_LOGIN_PASSWORDFILE
REMOTE_OS_AUTHENT
REMOTE_OS_ROLES
REPLICATION_DEPENDENCY_TRACKING
RESOURCE_LIMIT
RESOURCE_MANAGER_PLAN
RESUMABLE_TIMEOUT
ROLLBACK_SEGMENTS
SERVICE_NAMES
SESSION_CACHED_CURSORS
SESSION_MAX_OPEN_FILES
SESSIONS
SGA_MAX_SIZE
SGA_TARGET
SHADOW_CORE_DUMP
SHARED_MEMORY_ADDRESS
SHARED_POOL_RESERVED_SIZE
SHARED_POOL_SIZE
SHARED_SERVER_SESSIONS
SHARED_SERVERS
SKIP_UNUSABLE_INDEXES
SMTP_OUT_SERVER
SORT_AREA_RETAINED_SIZE
SORT_AREA_SIZE
SPFILE
SQL92_SECURITY
SQLTUNE_CATEGORY
STANDBY_ARCHIVE_DEST
STANDBY_FILE_MANAGEMENT
STAR_TRANSFORMATION_ENABLED
STATISTICS_LEVEL
STREAMS_POOL_SIZE
TAPE_ASYNCH_IO
THREAD
TIMED_OS_STATISTICS
TIMED_STATISTICS
TRACE_ENABLED
TRACEFILE_IDENTIFIER
TRANSACTIONS
TRANSACTIONS_PER_ROLLBACK_SEGMENT
UNDO_MANAGEMENT
UNDO_RETENTION
UNDO_TABLESPACE
USE_INDIRECT_DATA_BUFFERS
USER_DUMP_DEST
UTL_FILE_DIR
WORKAREA_SIZE_POLICY
This section describes system parameters. These parameters are not initialization parameters, so you cannot set them in a pfile or spfile. However, you can set them using an ALTER
SYSTEM
statement.
Syntax:
USE_STORED_OUTLINES = { TRUE | FALSE | category_name }
The USE_STORED_OUTLINES
parameter determines whether the optimizer will use stored public outlines to generate execution plans. USE_STORED_OUTLINES
is not an initialization parameter.
TRUE
causes the optimizer to use outlines stored in the DEFAULT
category when compiling requests.
FALSE
specifies that the optimizer should not use stored outlines. This is the default.
category_name
causes the optimizer to use outlines stored in the category_name
category when compiling requests.
When you start your instance, Oracle Database creates shared server processes and dispatcher processes for the shared server architecture based on the values of the SHARED_SERVERS
and DISPATCHERS
initialization parameters. You can also set the SHARED_SERVERS
and DISPATCHERS
parameters with ALTER
SYSTEM
to perform one of the following operations while the instance is running:
Create additional shared server processes by increasing the minimum number of shared server processes.
Terminate existing shared server processes after their current calls finish processing.
Create more dispatcher processes for a specific protocol, up to a maximum across all protocols specified by the initialization parameter MAX_DISPATCHERS
.
Terminate existing dispatcher processes for a specific protocol after their current user processes disconnect from the instance.
Examples
Archiving Redo Logs Manually: Examples The following statement manually archives the redo log file group containing the redo log entry with the SCN 9356083:
ALTER SYSTEM ARCHIVE LOG CHANGE 9356083;
The following statement manually archives the redo log file group containing a member named 'diskl:log6.log
' to an archived redo log file in the location 'diska:[arch$
]':
ALTER SYSTEM ARCHIVE LOG LOGFILE 'diskl:log6.log' TO 'diska:[arch$]';
Enabling Query Rewrite: Example This statement enables query rewrite in all sessions for all materialized views for which query rewrite has not been explicitly disabled:
ALTER SYSTEM SET QUERY_REWRITE_ENABLED = TRUE;
Restricting Sessions: Example You might want to restrict sessions if you are performing application maintenance and you want only application developers with RESTRICTED
SESSION
system privilege to log on. To restrict sessions, issue the following statement:
ALTER SYSTEM ENABLE RESTRICTED SESSION;
You can then terminate any existing sessions using the KILL
SESSION
clause of the ALTER
SYSTEM
statement.
After performing maintenance on your application, issue the following statement to allow any user with CREATE
SESSION
system privilege to log on:
ALTER SYSTEM DISABLE RESTRICTED SESSION;
Establishing a Wallet and Encryption Key The following statements load information from the server wallet into memory and set the transparent data encryption master key:
ALTER SYSTEM SET ENCRYPTION WALLET OPEN AUTHENTICATED BY "welcome1"; ALTER SYSTEM SET ENCRYPTION KEY AUTHENTICATED BY "welcome1";
These statements assume that you have initialized the security module and created a wallet with the password welcome1
.
Clearing the Shared Pool: Example You might want to clear the shared pool before beginning performance analysis. To clear the shared pool, issue the following statement:
ALTER SYSTEM FLUSH SHARED_POOL;
Forcing a Checkpoint: Example The following statement forces a checkpoint:
ALTER SYSTEM CHECKPOINT;
Enabling Resource Limits: Example This ALTER
SYSTEM
statement dynamically enables resource limits:
ALTER SYSTEM SET RESOURCE_LIMIT = TRUE;
Changing Shared Server Settings: Examples The following statement changes the minimum number of shared server processes to 25:
ALTER SYSTEM SET SHARED_SERVERS = 25;
If there are currently fewer than 25 shared server processes, then Oracle Database creates more. If there are currently more than 25, then Oracle Database terminates some of them when they are finished processing their current calls if the load could be managed by the remaining 25.
The following statement dynamically changes the number of dispatcher processes for the TCP/IP protocol to 5 and the number of dispatcher processes for the ipc protocol to 10:
ALTER SYSTEM SET DISPATCHERS = '(INDEX=0)(PROTOCOL=TCP)(DISPATCHERS=5)', '(INDEX=1)(PROTOCOL=ipc)(DISPATCHERS=10)';
If there are currently fewer than 5 dispatcher processes for TCP, then Oracle Database creates new ones. If there are currently more than 5, then Oracle Database terminates some of them after the connected users disconnect.
If there are currently fewer than 10 dispatcher processes for ipc, then Oracle Database creates new ones. If there are currently more than 10, then Oracle Database terminates some of them after the connected users disconnect.
If there are currently existing dispatchers for another protocol, then the preceding statement does not affect the number of dispatchers for that protocol.
Changing Licensing Parameters: Examples The following statement dynamically changes the limit on sessions for your instance to 64 and the warning threshold for sessions on your instance to 54:
ALTER SYSTEM SET LICENSE_MAX_SESSIONS = 64 LICENSE_SESSIONS_WARNING = 54;
If the number of sessions reaches 54, then Oracle Database writes a warning message to the ALERT
file for each subsequent session. Also, users with RESTRICTED
SESSION
system privilege receive warning messages when they begin subsequent sessions.
If the number of sessions reaches 64, then only users with RESTRICTED
SESSION
system privilege can begin new sessions until the number of sessions falls below 64 again.
The following statement dynamically disables the limit for sessions on your instance. After you issue this statement, Oracle Database no longer limits the number of sessions on your instance.
ALTER SYSTEM SET LICENSE_MAX_SESSIONS = 0;
The following statement dynamically changes the limit on the number of users in the database to 200. After you issue the preceding statement, Oracle Database prevents the number of users in the database from exceeding 200.
ALTER SYSTEM SET LICENSE_MAX_USERS = 200;
Forcing a Log Switch: Example You might want to force a log switch to drop or rename the current redo log file group or one of its members, because you cannot drop or rename a file while Oracle Database is writing to it. The forced log switch affects only the redo log thread of your instance. The following statement forces a log switch:
ALTER SYSTEM SWITCH LOGFILE;
Enabling Distributed Recovery: Example The following statement enables distributed recovery:
ALTER SYSTEM ENABLE DISTRIBUTED RECOVERY;
You might want to disable distributed recovery for demonstration or testing purposes. You can disable distributed recovery in both single-process and multiprocess mode with the following statement:
ALTER SYSTEM DISABLE DISTRIBUTED RECOVERY;
When your demonstration or testing is complete, you can then enable distributed recovery again by issuing an ALTER
SYSTEM
statement with the ENABLE
DISTRIBUTED
RECOVERY
clause.
Terminating a Session: Example You might want to terminate the session of a user that is holding resources needed by other users. The user receives an error message indicating that the session has been terminated. That user can no longer make calls to the database without beginning a new session. Consider this data from the V$SESSION
dynamic performance table, when the users SYS
and oe
both have open sessions:
SELECT sid, serial#, username FROM v$session; SID SERIAL# USERNAME ---------- ---------- ------------------------------ 29 85 SYS 33 1 35 8 39 23 OE 40 1 . . .
The following statement terminates the session of the user scott
using the SID
and SERIAL#
values from V$SESSION
:
ALTER SYSTEM KILL SESSION '39, 23';
Disconnecting a Session: Example The following statement disconnects user scott
's session, using the SID
and SERIAL#
values from V$SESSION
:
ALTER SYSTEM DISCONNECT SESSION '13, 8' POST_TRANSACTION;