| Oracle® Database Utilities 10g Release 2 (10.2) Part Number B14215-01 |
|
|
View PDF |
The SQL*Loader syntax diagrams (sometimes called railroad diagrams or DDL diagrams) use standard SQL syntax notation. For more information about the syntax notation used in this appendix, see the Oracle Database SQL Reference.
The following diagrams of DDL syntax are shown with certain clauses collapsed (such as pos_spec). These diagrams are expanded and explained further along in the appendix.
Options Clause

Load Statement

infile_clause

concatenate_clause

into_table_clause

field_condition

delim_spec

full_fieldname

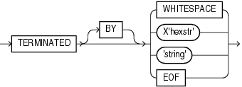
termination_spec

enclosure_spec

oid_spec

sid_spec

field_list

dgen_fld_spec

ref_spec

init_spec

bfile_spec

filler_fld_spec

scalar_fld_spec

lobfile_spec

pos_spec

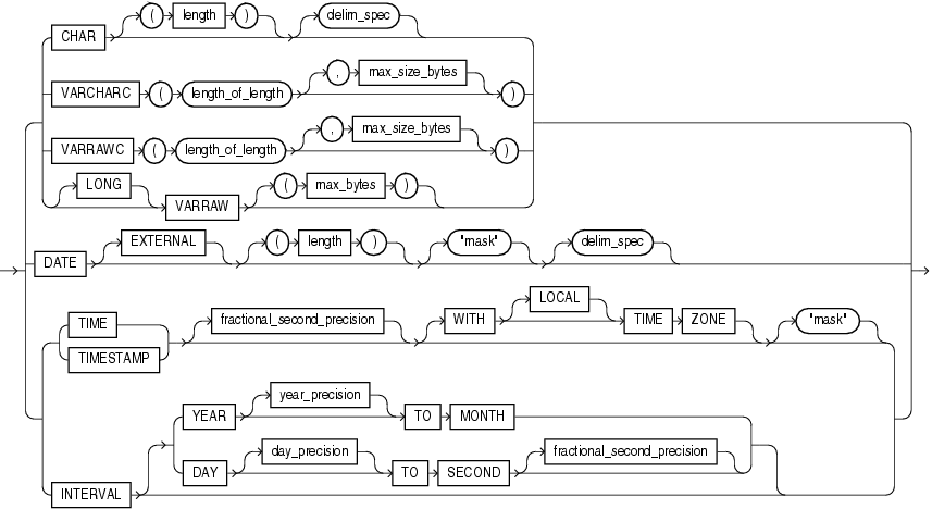
datatype_spec

datatype_spec_cont

col_obj_fld_spec

collection_fld_spec

nested_table_spec

varray_spec

sdf_spec

count_spec
