Index of /wares/soft/science/cpmd/vmd-py2/vmd-1.9.3/plugins_src/molefacture/lib/nucleic_acids/


../
CVS/                                               05-Jan-2018 13:22                   -
A.mfrag                                            05-Jan-2018 13:22                 679
C.mfrag                                            05-Jan-2018 13:22                 565
G.mfrag                                            05-Jan-2018 13:22                 786
T.mfrag                                            05-Jan-2018 13:22                 719
U.mfrag                                            05-Jan-2018 13:22                 560
dna_backbone.mfrag                                 05-Jan-2018 13:22                1219
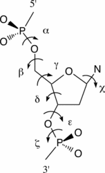
dna_dihedrals.gif                                  05-Jan-2018 13:22                3860
rna_backbone.mfrag                                 05-Jan-2018 13:22                1154
rna_backbone_added.mfrag                           05-Jan-2018 13:22                 958